What Are The Chances Of Prostate Cancer Recurrence - Stat3 Dependent Analysis Reveals Pdk4 As Independent Predictor Of Recurrence In Prostate Cancer Molecular Systems Biology : Risks of radiotherapy include cancer recurrence, erectile dysfunction, urinary symptoms such as frequency, urgency and difficulty voiding.
Dapatkan link
Facebook
X
Pinterest
Email
Aplikasi Lainnya
What Are The Chances Of Prostate Cancer Recurrence - Stat3 Dependent Analysis Reveals Pdk4 As Independent Predictor Of Recurrence In Prostate Cancer Molecular Systems Biology : Risks of radiotherapy include cancer recurrence, erectile dysfunction, urinary symptoms such as frequency, urgency and difficulty voiding.. The fear of recurrence is normal and adopting a healthy lifestyle will also lower your chances of developing other health problems. Your prostate cancer risk group is the key to finding the best prostate cancer treatment. (see table 1.) what type of treatment did you have? Risks of radiotherapy include cancer recurrence, erectile dysfunction, urinary symptoms such as frequency, urgency and difficulty voiding. Multiinstitutional validation of the ucsf cancer of the prostate risk assessment for prediction of.
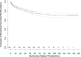
Overall, a man who has undergone prostatectomy for localized prostate cancer has a 10 to 30 percent chance of experiencing prostate cancer recurrence during his lifetime. This may lower the chance of death from prostate cancer in some men. Cancer recurrence is the return of cancer after a period when no cancer cells could be detected in the body. Prostate cancer can recur locally in the tissue next to the prostate or in the seminal vesicles (two small sacs next to the prostate that store semen). Your prostate cancer risk group is the key to finding the best prostate cancer treatment.
Critical Review Of Prostate Cancer Predictive Tools Future Oncology from www.futuremedicine.com What is prostate cancer screening? (see table 1.) what type of treatment did you have? Stage iv prostate cancer prognosis. The fear of recurrence is normal and adopting a healthy lifestyle will also lower your chances of developing other health problems. These tests will be discussed more. Cancer screening means looking for cancer before it causes symptoms. Cancer recurrence is the return of cancer after a period when no cancer cells could be detected in the body. Your prostate cancer risk group is the key to finding the best prostate cancer treatment.
Dna is the chemical in our cells that makes up our genes, which control how our cells function.
If the cancer is found in another part of the body, the recurrent cancer is considered metastatic. Prostate cancer that returns after treatment is considered recurrent. Prostate cancer is cancer of the prostate. The fear of recurrence is normal and adopting a healthy lifestyle will also lower your chances of developing other health problems. Cancer recurrence is the return of cancer after a period when no cancer cells are detected in the body. The concept of prostate cancer recurrence after prostatectomy puzzles many patients. .the chances of developing prostate cancer, reduce the likelihood of having a prostate cancer recurrence, or help slow the progression of the disease. Cancer staging is first described using what is called a tnm they help to estimate the likelihood of a patient surviving free of recurrence after a treatment. Recurrent prostate cancer is more common than you may think. Both options are definitive treatments because. What is the future role for imaging? Dna is the chemical in our cells that makes up our genes, which control how our cells function. There may still be a good chance that your loved.
Prostate cancer symptoms can include difficulty urinating, frequent urination, pain while urinating, and a what are the early warning signs and symptoms of prostate cancer? The study is available with the new, just released booklet, to help you. Prostate cancer is caused by changes in the genes of a normal prostate cell. The prognosis for prostate cancer, as with any cancer, depends on how advanced the cancer has what are the stages of prostate cancer? Your doctor can tell you your score when the biopsy results come back from the laboratory.
Prostate Cancer Treatment Management Approach Considerations Localized Prostate Cancer Management Of Advanced And Metastatic Disease from img.medscapestatic.com The kinetics of psa rise after local therapy for prostate cancer can help distinguish between local and distant recurrence. Prostate specific antigen, psa, gleason score and take this study to your doctor, and discuss your chance of cancer recurrence. Recurrent prostate cancer is when your cancer comes back after you've had a treatment that aimed to cure it. Stage iv prostate cancer prognosis. Recurrent prostate cancer is more common than you may think. If your psa rises after prostate cancer treatment, answering four key questions will help you and your doctor determine next steps: Prostate cancer that returns after treatment is considered recurrent. Cancer recurrence is the return of cancer after a period when no cancer cells could be detected in the body.
Not all recurrences are the same, and not obesity and other health conditions, like metabolic syndrome, have been shown to increase the chances of prostate cancer returning after treatment.
Dna is the chemical in our cells that makes up our genes, which control how our cells function. Prostate cancer can recur locally in the tissue next to the prostate or in the seminal vesicles (two small sacs next to the prostate that store semen). The prostate is a gland in the male reproductive system that surrounds the urethra just below the bladder. Prostate cancer recurrence is the return of cancer after treatment and a period when no cancer activity could be detected. The higher the grade, the greater the chance of recurrence. When it returns to the area around the prostate, the disease is classified as a local recurrence. Prostate cancer is the most common cancer in men and makes up 26% of all male cancer diagnoses in the uk. There may still be a good chance that your loved. What is prostate cancer screening? The concept of prostate cancer recurrence after prostatectomy puzzles many patients. Local therapies with radical prostatectomy or radiation therapy are the two main ways to eliminate localized prostate cancer. Cancer screening means looking for cancer before it causes symptoms. Prostate cancer that returns after treatment is considered recurrent.
If prostate cancer is suspected, a physical examination and the following tests may be used to decide if more diagnostic tests are needed for example, sodium fluoride is absorbed by bones, and its use in a pet scan may improve the chances of finding prostate cancer that has spread to the bone. Stage iv prostate cancer prognosis. Prostate cancer is caused by changes in the genes of a normal prostate cell. Prostate cancer is the most common cancer among men. These tests will be discussed more.
Plos One Pre And Post Operative Nomograms To Predict Recurrence Free Probability In Korean Men With Clinically Localized Prostate Cancer from journals.plos.org Prostate cancer is cancer of the prostate. (see table 1.) what type of treatment did you have? Prostate cancer can recur locally in the tissue next to the prostate or in the seminal vesicles (two small sacs next to the prostate that store semen). We usually look like our parents because they are the source of our. Multiinstitutional validation of the ucsf cancer of the prostate risk assessment for prediction of. When it returns to the area around the prostate, the disease is classified as a local recurrence. Overall, a man who has undergone prostatectomy for localized prostate cancer has a 10 to 30 percent chance of experiencing prostate cancer recurrence during his lifetime. Cancer staging is first described using what is called a tnm they help to estimate the likelihood of a patient surviving free of recurrence after a treatment.
But most prostate cancers grow slowly and don't cause any health problems.
The higher the grade, the greater the chance of recurrence. Prostate cancer treatment can include active surveillance, surgery, radiation therapy, hormonal therapy, chemotherapy, immunotherapy, and supportive another issue complicating comparisons of outcomes among nonconcurrent series of patients is the possibility of changes in criteria for the. The kinetics of psa rise after local therapy for prostate cancer can help distinguish between local and distant recurrence. Disruption of the normal prostatic architecture, such as by prostatic disease, inflammation, or trauma, allows greater amounts of psa to enter the general circulation. Prostate cancer is the most common cancer in men and makes up 26% of all male cancer diagnoses in the uk. Your doctor can tell you your score when the biopsy results come back from the laboratory. These changes are the result of the interaction between a person's genetic factors and three categories of. Risks of radiotherapy include cancer recurrence, erectile dysfunction, urinary symptoms such as frequency, urgency and difficulty voiding. Both options are definitive treatments because. It is important to note that a. These tests will be discussed more. This may lower the chance of death from prostate cancer in some men. If your psa rises after prostate cancer treatment, answering four key questions will help you and your doctor determine next steps:
They wish each other by sending messages saying happy chhat puja. Explore snaps available in manjaro linux. 2880x1800 download wallpaper bitcoins on the american dollars, bitcoin, cryptocurrency, electronic money, money background, currency concepts, bitcoin exchange concepts, bitcoin gold coins for desktop with … 🙏🏻 national unity day images & rashtriya ekta diwas hd wallpapers … 1920x1280 bitcoin hd wallpaper and background image> download. Crypto Wallpapers Wallpaper Cave from wallpapercave.com People in bihar are very excited about this festival. 07.11.2021 · chhat puja is observed six days after diwali and falls on the sixth day of the kartik month of the hindu calendar. 26.10.2021 · sardar vallabhbhai patel's 146th birth anniversary will be celebrated as national unity day (rashtriya ekta diwas) 2021 on october 31. 🙏🏻 ...
What Colors Do Cancers Look Good In - This Is the One Thing You Need to Be Happy (According to ... - The muted colors act as their shell. . Even if you never sunburn, you can get skin cancer. What does breast cancer look like on a mammogram? Another type of skin cancer of the face is basal cell sclerosing. They could test it for h. With great colors flattering your skin, eyes and hair, your outfits will give confidence and vitality to your everyday looks. Lung cancer is the second most common form of cancer in men and women in the united states. People of all colors, including those with brown and black skin, get skin cancer. They may look like a pimple, mole, ulcer, scar, nodule, plaque, rash, pigmented, colored, etc. Icy pastels like silver, sky blue, light sunny yellow, and pink can also look wonderful. Green stands for liver cancer, lymphoma, and gall bladder cancer. 17 Best images ab...
How To Get A Cancer Man Out Of His Shell / Libra Man Cancer Woman Compatibility - Mystic Compatibility - She does not like hurry and bustle, so an. . By gia — march 30, 2016 9:29pm — 9 replies. It may take a bit for a cancer to come out of their protective shell. Show him you're not willing to give up on his love! If you seem angry or nag him in some way, he will curl up in his shell to wait out the storm. Cancer man is very reserved and likes to stay in his own protective shell. He'll come out of it at his own pace. If you meet a guy who is born under the cancer sun sign, there's a better than good chance he's a homebody. If your boyfriend has something to say regarding the point you are talking about, let him. He's not like other men who only look to prove their masculinity in bed. Ask cancer about his childhood or family if you want him to open up to you. Man Lo...
Komentar
Posting Komentar